近日,我校信息功能材料结构与器件安徽普通高校重点实验室天体物理团队最新研究成果《Pulsation properties of Blazhko and Non-BlazhkoRRab stars》被国际天文学权威期刊《ASTROPHYSICAL JOURNAL SUPPLEMENT SERIES》(中科院分区一区)接收。该杂志创刊于1954年,由IOP Publishing Ltd.出版,专注于天文与天体物理领域,聚焦大规模研究成果、数据集及技术报告。中科院分区为物理与天体物理大类1区。宗鹏博士为论文第一作者,张丙开教授为论文共同通讯作者,信息功能材料结构与器件安徽普通高校重点实验室为第一单位。
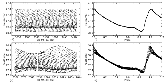
天琴座RR型变星是短周期脉动变星,位于赫罗图经典不稳定带与水平分支交叉处,处于恒星演化晚期的中心氦燃烧阶段。根据脉动模式,天琴座RR型变星分为基模脉动的ab型、一阶泛音脉动的c型及两者兼具的d型。凭借其显著的周期-金属丰度-绝对星等关系,天琴座RR型变星被用作标准烛光测量天体距离。在观测上,部分天琴座RR型变星光变曲线呈现振幅和相位的周期性调制,称为Blazhko效应,未表现此效应的为非Blazhko效应天琴座RR型变星。Blazhko效应的物理机制仍是天文学研究的重要课题,影响周光关系精度和恒星参数测定。超过50%的天琴座RRab型变星具有Blazhko效应,而RRc和RRd型变星中较为少见。图1展示了非Blazhko效应和Blazhko效应RRab型变星的光变曲线。

图1 非Blazhko与Blazhko效应天琴座RRab型变星的光变曲线。(a)和(b)为非Blazhko效应天琴座RRab型变星EPIC 212719863的光变曲线,(c)和(d)为Blazhko效应天琴RRab型变星EPIC 220244829的光变曲线。两颗星的相位叠加光变曲线均按其基模式脉动周期进行叠加。
研究人员利用LAMOST-Kepler/K2低分辨率光谱巡天数据,结合Kepler/K2高精度时序测光数据和Gaia DR3数据,对Blazhko与非Blazhko效应RRab型变星的脉动特性进行了系统性对比研究。研究发现,这两类RRab型变星在脉动参数上存在统计学差异(如图1),但由于脉动参数分布存在重叠,无法有效区分Blazhko和非Blazhko效应RRab型变星。通过分析LAMOST DR12低分辨率光谱测量的金属丰度,发现两类变星在金属丰度上无显著统计学差异(图2)。此外,基于Gaia DR3数据计算的绝对星等也未显示两类变星的差异,但在色指数上却存在显著差异。未来,随着大量天琴座RR型变星的高精度光变曲线和光谱数据的发布,将为Blazhko效应的研究提供新的视角,并进一步深化我们对天琴座RR型变星恒星演化过程的理解。

图2 Blazhko和非Blazhko效应RRab型变星的傅里叶参数振幅比R21与R31的分布。(a)展示了两参数之间的关系,(b)和(c)分别展示了两参数的累积分布函数。Blazhko和非BlazhkoRRab型变星分别用不同的颜色表示。
本研究工作得到了北京师范大学、国家天文台和云南天文台等同行的指导和支持。论文链接:https://arxiv.org/abs/2503.14310。
(撰稿、图片:宗鹏 单位审核:武山 宣传部初审:张书光 终审:王峰)